The Three Span Continuous Beam Shown Below is

Question

Structural Analysis

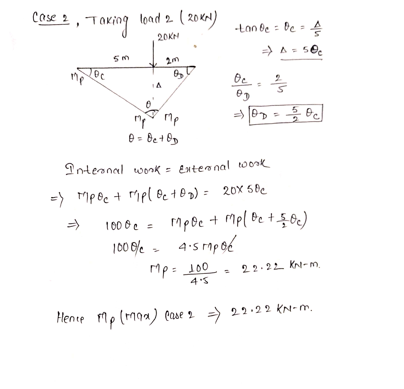
a) A three span continuous beam is shown in Figure Q2(a) overleaf. The beam has a constant cross-section over all spans and is subjected to factored loading as shown.Referring to Figure Q2(a):

Determine the required fully plastic moment capacity, Mp, for both SPANS(1)B-C and C -D, by examining the mechanisms associated with the plastic collapse of these two spans.10 marks)

(1i)be 60 kNm, determine the value of the point load, P, applied to this span in order to achieve this If the fully plastic moment capacity, Mp, for SPAN A – B is constrained to

Noting the values of Mp from parts (i) and (ii), and making use of the(ii)Universal Beam Tables given in Appendix C, select the most suitable section for the continuous beam. The structural steel used for the beam possesses a yield stress of 275 N/mm2.

b) Determine the value of the plastic section modulus (Sx) about the X-X axis for the beam cross-section depicted in Figure Q2(b) overleaf. Quote the value you obtain in cm


Answer

Verified

Related Questions

Question 45402

Structural Analysis

5) For the truss given below, find the force in member EF. Assume that the self-weight ofthe truss is negligible. (15 pts)

Read More

Question 45401

Structural Analysis

4) From the options given below, choose the most economical size HSS brace that will beable to resist the force shown. Assume that the brace will be designed as a tension-onlybrace (no compression). (10 points)

Read More

Question 45400

Structural Analysis

3) For the beam given below, calculate reactions at both supports A and B. Draw the shear and moment diagrams. Label the maximum magnitude shear and moment values on the diagrams. (Maximum magnitude means maximum absolute value, positive or negative).Assume that the self-weight of the beam is negligible. (20 pts)

Read More

Question 45399

Structural Analysis

1) Consider the two columns given below. Both have the same material properties. Both have equal unbraced lengths about their respective x and y axes. Both have the same end conditions (pin-pin). However, one is square in shape, and the other is rectangular.Which column is more efficient? Justify your answer by comparing the critical buckling load of each column and the amount of material used. (15 pts)
2) For the beam given below, calculate the vertical reaction at support A. Assume that the-self-weight of the beam is negligible. (15 pts)
3) For the beam given below, calculate reactions at both supports A and B. Draw the shearand moment diagrams. Label the maximum magnitude shear and moment values on thediagrams. (Maximum magnitude means maximum absolute value, positive or negative).Assume that the self-weight of the beam is negligible. (20 pts)
4) From the options given below, choose the most economical size HSS brace that will be able to resist the force shown. Assume that the brace will be designed as a tension-only brace (no compression). (10 points)
5) For the truss given below, find the force in member EF. Assume that the self-weight of the truss is negligible. (15 pts)

Read More

Question 45398

Structural Analysis

1) In addition to recording the size, section and relative locations of structural members(design output), IBC 1603.1 also states that structural engineers must indicate______(design input) on the- (4 pts)
2) A flexible building will have ato a rigid building. The flexible building will experiencecompared to the more rigid building. (3 pts)frequency and aperiod comparedseismic forces
3) The IBC lists site classifications for types of soil, from hard rock to soft soil prone toliquefaction (A - F). Typically, theengineer will perform tests onthe soil to determine the site classification. Structures built onsoilwill experience higher seismic accelerations due to wave(3 pts)
4) Carbon dioxide emitted during the manufacturing, transportation, and construction of building materials (including structural elements) is known a______carbon. (2 pts)
5) You are designing a truss for a sports arena. The owner would like to hang a 20 kipscoreboard in the center of one of these trusses. They have proposed attaching thecables at the locations shown below. What change, if any, would you propose to improvethe efficiency of the truss? Justify your answer. (4 pts)
6) The metal clips in the wall at the top of the photo (A) will support the brick veneer againstloads. The shelf at the floor level (B) will support theof the brick. (4 pts)
7) You are testing the tensile capacity of two rods made of different metals. The first rod that you test elongates rapidly and ruptures after applying 2,000 pounds of load. The second rod hardly elongates at all and ruptures after applying 4,000 pounds. On thestress-strain curve below, the first rod is_______The second rod is____---The rod with the higher ductility is- (3 pts)
8) In structural analysis, the type of support or boundary condition circled below is commonly referred to as a_{___(2 pts)

Read More

Question 44751

Structural Analysis

3. (20 points) Find the most economic beam section for the following loading condition based on flexure ONLY. Note that there is a bracing at the center of the span. Neglect beam's self-weight.

Read More

Question 44750

Structural Analysis

(15 points) In the simply supported beam AB below, please find the maximum moment,maximum shear and maximum deflection and indicate where they occur.

Read More

Question 44749

Structural Analysis

What is the volume of (42+x =) ft. long W 33 x 318 steel section?

Read More

Question 44620

Structural Analysis

A structural engineer has hired you to design square concrete unembedded footings for a building, based only on capacity. Each footing will hold an axial load of 340 kN. Your technicians have conducted lab tests on specimens sampled from the site, and they report the following profile: a 0.8m thick clay layer over a 7m thick clayey silt layer (the clayey silt layer lies over rock). The lab report reveals that the clay has a friction angle of34 degrees and an undrained strength of 35 kPa, and that the clayey silt has a friction angle of 37 degrees and an undrained strength of 45 kPa.
Determine the size of one of the footings, in meters, such that the critical actor of safety against a capacity failure is as close to 3 as possible, but still larger than 3 and smaller than 3.2. The other (non-critical) factor of safety must be greater than 3. Express your answer with a resolution of 0.1 meters. That is, values of B of1.2, 2.3, 3.4m, etc., for example, are acceptable, whereas B values of 1.21, 2.32, 3.43m, etc., for example,are not.
Show all your work, organized, and circle your answer for B.

Read More

Question 44411

Structural Analysis

2. (50 points) Determine if the beam shown in the figure is adequate as governed by the ACICode (318-11). The loads shown are service loads. The uniformly distributed load is DL = 0..72+o.Fkip/ft., LL+0.83 +0.E= kip/ft the dead load excludes the beam weight the point is a live load f.c 4000psi fy=60000 psi

Read More

Submit query

Getting answers to your urgent problems is simple. Submit your query in the given box and get answers Instantly.

Submit a new Query

Please Add files or description to proceed

Success

Assignment is successfully created

levineyoupirse.blogspot.com

Source: https://tutorbin.com/questions-and-answers/a-a-three-span-continuous-beam-is-shown-in-figure-q2a-overleaf-the-bea

0 Response to "The Three Span Continuous Beam Shown Below is"

Post a Comment

Iklan Atas Artikel

Iklan Tengah Artikel 1

Iklan Tengah Artikel 2

Iklan Bawah Artikel